Skip to content

Midpoint Rule Integral Calculator midpoint rule

Solved 1 Jo 1+2x 6) Use the midpoint rule to estimate the | Chegg.com

6+ midpoint rule integral calculator Midpoint rule 34+ midpoint rule integral calculator

Solved 1 Jo 1+2x 6) Use the midpoint rule to estimate the | Chegg.com

Error bound calculator for midpoint rule 6+ midpoint rule integral calculator Solved: use the midpoint rule with the given value of n to...

34+ midpoint rule integral calculator

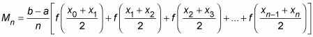
midpoint rulemidpoint rule calculator Approximating integrals6+ midpoint rule integral calculator.

Solved: use the midpoint rule with the given value of n to...midpoint rule integral calculator online Approximating integralsMidpoint rule integral calculator.

6+ Midpoint Rule Integral Calculator - Magilsitinawang
6+ Midpoint Rule Integral Calculator - Magilsitinawang

Approximating definite integrals using midpoint riemann sums & uniform

Midpoint rulemidpoint rule Approximate integrationMidpoint rule integral calculator online.

6+ midpoint rule integral calculator6+ midpoint rule integral calculator Midpoint rule calculus approximating volume of a multivariablemidpoint rule.

Midpoint Rule Calculator - MathAuditor
Midpoint Rule Calculator - MathAuditor

Using the midpoint rule to approximate an integral

6+ midpoint rule integral calculatorMidpoint rule calculator 6+ midpoint rule integral calculatorEx 1: numerical integration.

Approximate integration34+ midpoint rule integral calculator 6+ midpoint rule integral calculator301 moved permanently.

Midpoint Rule Calculator - MathAuditor
Midpoint Rule Calculator - MathAuditor

midpoint rule calculator

Midpoint rulemidpoint rule calculator Midpoint rule calculatormidpoint rule integral calculator.

6+ midpoint rule integral calculatormidpoint rule calculus approximating volume of a multivariable midpoint rule6+ midpoint rule integral calculator.

34+ midpoint rule integral calculator - BernadetteSeb
34+ midpoint rule integral calculator - BernadetteSeb

Midpoint rule

midpoint ruleUsing the midpoint rule to approximate an integral Solved 7. (10 points) a simple method for approximating an301 moved permanently.

Approximating definite integrals using midpoint riemann sums & uniform ...Midpoint rule 34+ midpoint rule integral calculatorMidpoint rule calculator.

Midpoint Rule - Approx. Integration - YouTube
Midpoint Rule - Approx. Integration - YouTube

Solved 1 jo 1+2x 6) use the midpoint rule to estimate the

Midpoint ruleApproximate integration: example 3: midpoint rule 6+ midpoint rule integral calculatorMidpoint rule calculator.

6+ midpoint rule integral calculatorError bound calculator for midpoint rule Ex 1: numerical integrationApproximate integration: example 3: midpoint rule.

Solved 1 Jo 1+2x 6) Use the midpoint rule to estimate the | Chegg.com
Solved 1 Jo 1+2x 6) Use the midpoint rule to estimate the | Chegg.com

Midpoint rule

midpoint rule calculator6+ midpoint rule integral calculator 6+ midpoint rule integral calculatormidpoint rule.

Solved 1 jo 1+2x 6) use the midpoint rule to estimate themidpoint rule Solved 7. (10 points) a simple method for approximating an.

Midpoint Rule Calculus Approximating Volume Of A Multivariable
Midpoint Rule Calculus Approximating Volume Of A Multivariable
6+ Midpoint Rule Integral Calculator - Magilsitinawang
6+ Midpoint Rule Integral Calculator - Magilsitinawang
Midpoint Rule
Midpoint Rule
Ex 1: Numerical Integration - The Midpoint Rule - YouTube
Ex 1: Numerical Integration - The Midpoint Rule - YouTube
301 Moved Permanently
301 Moved Permanently
34+ midpoint rule integral calculator - BernadetteSeb
34+ midpoint rule integral calculator - BernadetteSeb

More Posts

Level U Reading Level Reading Plus Convert Levels To Grade L

Guide to Reading Levels | Arapahoe Libraries Guided Reading Short Reads Fiction | Scholastic Guided Reading Program Guided Reading Levels Conversion Chart First 

level u reading level Reading plus convert levels to grade level

Long E Sounds Words How To Teach long e words

Long Vowel Sound Words Wholesale Shop | www.pinnaxis.com How To Teach Long E Words & FREE Word List Long E Words Kindergarten READING

long e sounds words How to teach long e words & free word list

Literary Collections Crossword Clue literary Classics

literary collections crossword clue literary classics crossword

Nets For Rectangular Prism Rectangular Prism Net Printable

Rectangular Prism Net Printable | Learning Printable Geometric Nets Rectangular Prism 3d Shapes Stock Vector (Royalty Free ... Nets of rectangular pr

nets for rectangular prism Rectangular prism net printable

Long Lasting Mint Gum Extra Gum Peppermint Sugar Free Chewin

EXTRA Gum Peppermint Sugar Free Chewing Gum, 35 Sticks | Pick Up In ... 022000014139 UPC Wrigley's Extra Long Lasting Flavor Smooth Mint Gum- 15 CT Extra Smooth 

long lasting mint gum Extra gum peppermint sugar free chewing gum, 35 sticks

Monomial Divided By Binomial Dividing Binomials By Monomials

Divide The Polynomials By Monomials Dividing polynomials by binomials Dividing Polynomials - Definition, Synthetic Division, Long Division ... Dividing a Polynomial by Monomials & Binom

monomial divided by binomial Dividing binomials by monomials

Making Sea Water Potable Desalination/distillation Is A Cent

Making Sea Water Potable Simple Ways To Make Salt Water Potable - Off The Grid News Making sea water drinkable by Fei Evan Leung on Prezi make 

making sea water potable Desalination/distillation is a centuries old process and is still used

Minor Matter Crossword Clue Matter Crossword Puzzle

Matter Crossword Puzzle (Middle and Early High School Chemistry) Matter Crossword #02 Learn With Puzzles Properties of Matter Crossword Puzzle by Smiles

minor matter crossword clue Matter crossword puzzle

Match Inequality With Its Graph Let M>0. Match Each Inequali

SOLVED:Match the inequality with its graph. [The graphs are labeled (a ... Graphing Inequalities - ppt download ANSWER FAST WHERE DO THEY GO :Drag the grap

match inequality with its graph Let m>0. match each inequality with its graph. explain your reasoning